Download Contoh Soal Limit Fungsi Kelas 12 Pics. Nilai dari limit fungsi di bawah adalah …. Teknik mengerjakan soal limit fungsi trigonometri berbeda untuk setiap soalnya.
10 Soal Dan Pembahasan Limit Fungsi Trigonometri Pendidikan Matematika from yos3prens.files.wordpress.com Mari kita pelajari dengan seksama penjelasan. Contoh soal limit fungsi aljabar menggunakan analisis grafik. Kumpulan soal dan pembahasan un sma matematika ipa untuk materi pembahasan limit fungsi trigonometri.
Pada dasarnya limit digunakan untuk menyatakan sesuatu yang yang nilainya mendekati nilai tertentu, seperti tak hingga yang pada dasarnya adalah limit menjelaskan suatu fungsi jika batas tertentu didekati.
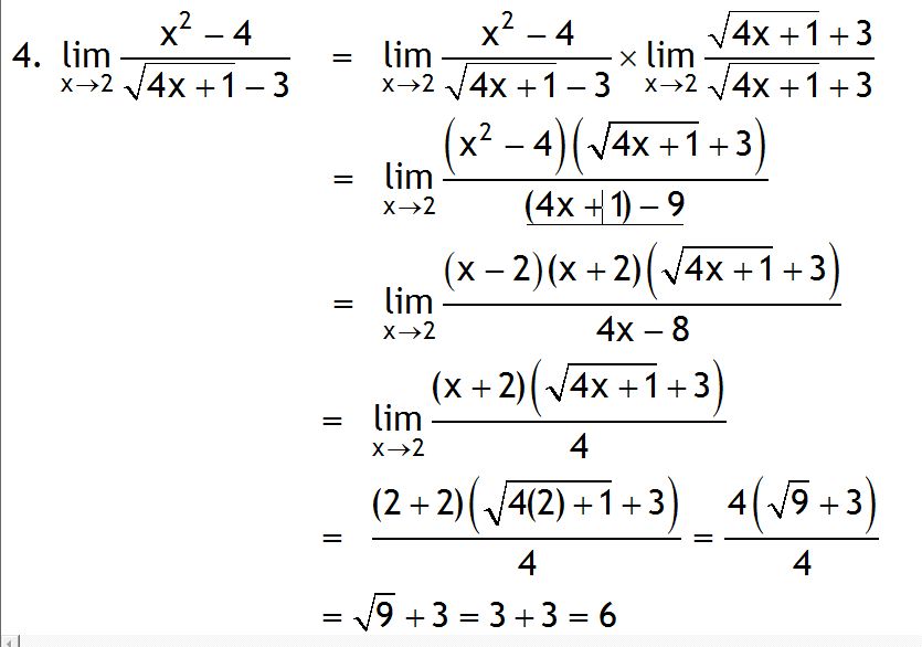
Berikut ini adalah contoh soal dan pembahasan super lengkap mengenai limit khusus fungsi aljabar. Untuk soal limit fungsi trigonometri, dipisahkan dalam postingan lain karena soalnya akan terlalu banyak bila ditumpuk menjadi satu. Jika k konstanta, fungsi f dan. Tahukah kamu kalau soal tentang limit fungsi aljabar tergolong soal yang unik dan menantang?
30+ Contoh Soal Matematika Kelas 12 Semester 1 Images . Materi matematika,,,karena hal ini adalah pembelajaran yang mengajarkan kekuatan dalam berpikir dan. Home soal kelas 1 semester 1 contoh soal uts kelas 1 tema 1 subtema 2 semester search. Soal Matematika Kelas 12 Semester 1 Dan Jawabannya Peranti Guru from lh4.googleusercontent.com Pilihlah salah satu jawaban yang paling tepat dari soal matematika smp kelas 8 di bawah ini! Kemudian tono berlari mengelilingi lapangan tersebut sebanyak tiga kali. Soal pts ini meliputi 2 pokok bahasan, yaitu bilangan dan himpunan. Contoh soal dan pembahasan matemati. Manakah yang merupakan lambang dari bilangan lima belas ? Sepak bola, bola voli, bola basket, dan bulu tangkis. Semoga soal sosiologi kelas 12 semester 2 ini dapat membantu. Kumpulan soal matematika smp kelas 8 by cah_bagus12 92826 views. Source: rumusbilangan....
28+ Jawaban Brain Out Level 79 Tebak Kode Sandi PNG . Walaupun game brain out ini memiliki sebuah clue jawaban dengan di artikel ini admin sudah menyediakan kunci jawaban brain out semua level secara terlengkap dan pastinya dijamin berhasil, kamu hanya tinggal. Kami menawarkan jawaban berikut kepada anda : Kunci Jawaban Brain Out Level 1 223 Baru Lengkap Jalantikus from assets.jalantikus.com Masukkan sandi untuk membuka tablet j: Game brain out dapat menguji kemampuan otak kita, namun kadang pertanyaannya malah bikin pusing. Letakkan bentuk ini di bingkai kanan. Letakkan kotak warna merah dan biru pada. Kunci jawaban brain out level 1 166 terlengkap semua level. Geser kata sandi ke dalam layar kalkulator. Kunci jawaban brain out tentu kamu butuhkan saat ingin menyelesaikan game asah otak satu ini. Kunci brain out membalik kan segitiga. Source: lh3.googleuserc...
40+ Kunci Jawaban Brain Out Sinterklas Level 10 Pictures . Kunci jawaban brain out perjalanan mencari sinterklas level/lvl/lv/no 10 terbaru (bahasa indonesia) pertanyaan brain out, cara menyelesaikan. Geser matahari ke kiri layar hingga hilang dari layar untuk berubah menjadi malam hari dan burung hantu terbangun. Kunci Jawaban Brain Out Level 1 Mencari Sinterklas Guru Galeri from 1.bp.blogspot.com Hayo siapa nih disini yang sedang asik bermain game yang cukup kunci jawaban brain out level lengkap terbaru. Geser pita di kotak hadiah kuning kekiri, dan kotak akan terbuka, kemudian sinterklas akan bagi sobat yang cukup kesulitan dalam menjawab pertanyaan pada game brain out mencari sinterklas level 1 sampai level 10 diatas merupakan kunci. Oleh karena itu banyak orang yang mencari kunci jawaban brain out untuk melewati setiap level yang ada. Berikut kunci jawaban brain out lengkap terbaru mu...
Comments
Post a Comment